CÂY ĐỐI XỨNG
Xem dạng PDF
Gửi bài giải
Điểm:
1,00 (OI)
Giới hạn thời gian:
2.0s
Giới hạn bộ nhớ:
256M
Input:
stdin
Output:
stdout
Dạng bài
Ngôn ngữ cho phép
C, C++, Java, Kotlin, Pascal, PyPy, Python, Scratch
Cho một cây gồm ~N~ đỉnh và ~N - 1~ cạnh, có gốc là đỉnh ~1~. Hãy cho biết cây đã cho có phải là cây đối xứng hay không?
Một cây gọi là đối xứng nếu:
- Cây con ngoài cùng bên trái của gốc có hình dạng giống hệt cây con ngoài cùng bên phải của gốc.
- Cây con thứ hai bên trái của gốc có hình dạng giống hệt cây con thứ 2 bên phải của gốc.
- ..............
- Nếu số lượng con trực tiếp của gốc là lẻ thì cây con giữa phải là cây đối xứng.
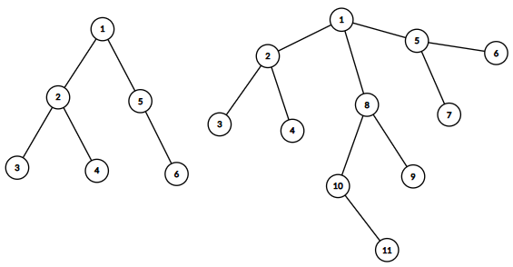
Ví dụ:
Các cây sau là cây đối xứng

Các cây sau thì không

Input
- Dòng đầu tiên chứa số nguyên ~t(t ≤ 100)~ là số lượng test case.
- Trong mỗi test case:
- Dòng đầu tiên là số tự nhiên ~N(N ≤ 2 \times 10^5)~ là số đỉnh của cây.
- ~N - 1~ dòng tiếp theo là hai số nguyên ~u_i, v_i(1 ≤ u_i, v_i ≤ n)~ biểu thị có cạnh nối giữa ~u_i~ và ~v_i~ trong cây.
- Dữ liệu đảm bảo tổng ~N~ trong tất cả các test không quá ~2 \times 10^5.~
Output
- Gồm ~t~ dòng, dòng thứ ~i~ in ~YES~ nếu cây trong test case thứ ~i~ là cây đối xứng, ngược lại in ra ~NO.~
Example
Input
6
6
1 5
1 6
1 2
2 3
2 4
7
1 5
1 3
3 6
1 4
4 7
4 2
9
1 2
2 4
2 3
3 5
1 7
7 6
7 8
8 9
10
2 9
9 10
2 3
6 7
4 3
1 2
3 8
2 5
6 5
10
3 2
8 10
9 7
4 2
8 2
2 1
4 5
6 5
5 7
1
Output
YES
NO
YES
NO
NO
YES
Bình luận